青龙房产

   QingLong Real Estate

 

新闻公告
主营业务 
联系我们

地址:重庆市永川区宏方金融时代1号楼7层

商务合作(李经理) :13883331668

按揭、贷款(蒋经理):13272635586

资产评估(罗经理):15923976381

邮  箱:qinglongfc@foxmail.com

传  真:023-87160669

主营业务

房屋按揭

2011-4-11


青龙永川二手房按揭,蒋经理18623581076


放款额度高,审批时间快

 

申请条件

购房申请房屋按揭贷款需要的条件:具有有效身份证及婚姻状况证明;良好的信用记录和还款意愿;稳定的收入;所购住房的商品房销售合同或意向书;具有支付所购房屋首期购房款能力;在银行开设个人结算账户以及具有有效的担保。在满足以上条件后,将申请资料提交银行即可,由银行审核决定是否放款。
买方办理按揭贷款需要提供的资料: 
1、申请人和配偶的身份证、户口本及结婚证(如申请人未婚需提供未婚证明)。
2、申请人家庭收入证明材料。
3、若申请人为外地户口,需提供在本地购买的1年以上社保证明。
 
卖方配合买方办理按揭贷款需提供的资料:
1、卖方和配偶的身份证、户口本及结婚证(如卖方未婚需提供未婚证明)。
2、房产证原件。
 

按揭的三大优点

1.花明天的钱圆今天的梦
按揭就是贷款,也就是向银行借钱,购房不必马上花费很多钱就可以买到自己的房子,所以按揭购房的****个优点就是钱少也能买房。
2.把有限的资金用于多项投资
从投资角度说,办按揭购房者可以把资金分开投资,贷款买房出租,以租养贷,然后再投资,这样资金使用灵活。
3.银行替你把关
办借款是向银行借钱,所以房产项目的优劣银行自然关心,银行除了审查你本身外,还会审查开发商,为你把关,自然保险性高。
 

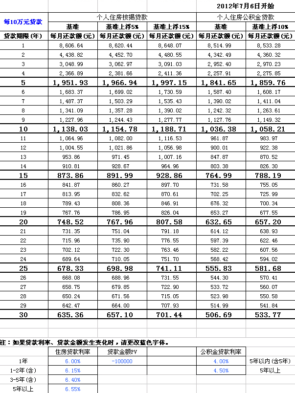
交通银行等额本息还款法每月还款本息表

 
抵押贷款
版权所有 Copyright(C)重庆青龙房产营销有限公司 | 渝ICP备8573198888号